Module Instructions: Central Dogma (C)


Lecture: Central Dogma of Molecular Biology


Step 1. Watch the Animation provided in the module. It is really helpful to help you visualize these rather abstract processes. 

 

Step 2. Watch the lecture and read the chapter.

 
 

Step 3. Complete the study guide in preparation for Exam 1.

 

Lab: Nucleotides, Nucleic Acids and Proteins


Exercise A: The Central Dogma of Molecular Biology

This section is fairly straightforward. Please note that all the items in the rounded boxes will be graded. Pay close attention to the check marks (). These are also graded. his is true for all the labs in this class.


Exercise B: Nucleotides and Nucleic Acids

Below are some commonly made mistakes. Use this as a guide to help your complete your lab.


Figures 3-4. Be sure complete the items inside the rounded boxes. In Figure 3, identify the structural differences between deoxyribose and ribose by circling the atoms that are not the same; when you are finished, there should be two circles in total. In Figure 4, do the same for thymine and uracil, circling the atoms that differ between the two molecules. As with the previous figure, there should be two circles when you are done.

 

Problem 5. Drawing the phosphodiester bond. The wording in the lab is a bit verbose. Here is a GIF showing you how a phosphodiester bond is made.

 

Figure 6. For each hydrogen bond, be sure to place the δ+ on the hydrogens δ- on the oxygens and nitrogens. Below is an example.


Exercise C: Amino Acids and Peptide Bonding


Problem 9. In this one, you will draw two amino acids side by side (see below). Then using the information in the reading remove the appropriate atoms from each to form the peptide bond between the two amino acids.

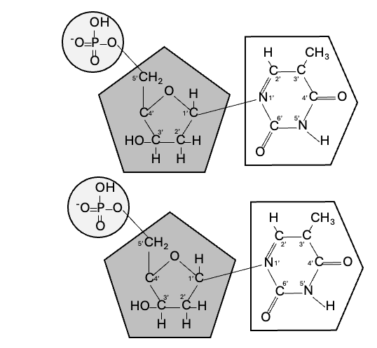
Note: These are the transcribed amino acids, not the peptide bond. Do not use this image on Problem 9. You must complete the peptide bond using the information in the lab.

 

Figure 8. You will draw the hydrogen bonds that are responsible for forming secondary structure. This can be a little tricky. Secondary structure arises when the partially positive hydrogens of the amine group (circled in red) form bonds with the partially negative oxygens of the carbonyl group (circled in blue). To complete this exercise, draw the hydrogen bonds that connect these hydrogens and oxygens.


Experiment 1: Enzyme Function


Step 1. Obtain your lab.


Step 2. Gather your supplies for the lab. This is a wet lab. You likely have all the necessary supplies around the house. You may need to make a run to the grocery store to get the rest.

Materials:

  • 3 – large cups (or bowls)

  • 3 – small cups (The small cups need to fit into the larger cups, bowls will work)

  • Thermometer (This is optional. If you do not have a thermometer, you can just record the data and hot, warm and cold.)

  • Lemon juice

  • Ice

  • Range

  • ½ an apple

  • Knife

  • 3 – plates

  • Grater


Step 4. Take a photo of your experimental setup. It should look something like this.

 

Step 5. Take a photo of "Minute 0". Once you get your lab set up, take a photo before you start the timer. It should look like this.

 

Step 6. Take a photo at the 45 minute mark (the end) of your experiment. Record your results on the lab and complete the conclusion.

 

Step 7. Create a PDF of your lab. If you need help, look in the Start Here module. Be sure to include your photos in the PDF. Failure to document your experiment will result in a zero for the lab.

 

Step 7. Create a PDF of your lab. If you need help, look in the Start Here module. Be sure to include your photos in the PDF. Failure to document your experiment will result in a zero for the lab.


Quiz: Central Dogma of Molecular Biology


Submit the Quiz in Canvas by Friday at 5pm on the date given in the calendar.